9
38
1,438
130,958
  현재접속자 : 1 (회원 0)
강의 게시판 > 공업수학
 
작성일 : 12-05-14 14:55
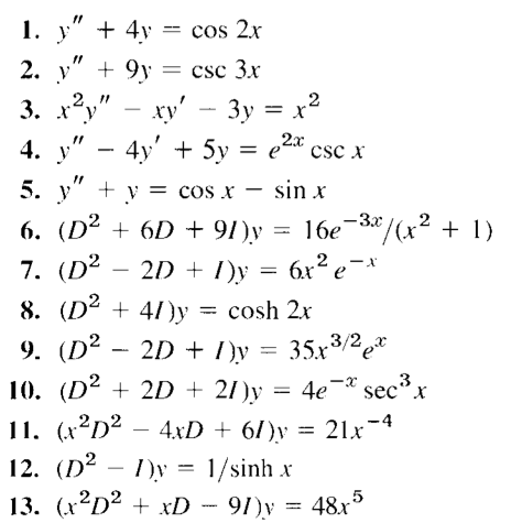
2.10 매개변수 변환에 의한 풀이
 글쓴이 : Minuk Y.
조회 : 8,056  
   공업수학 2.10 매개변수변환에 의한 풀이.pdf (822.7K) [290] DATE : 2012-05-14 14:55:18

.